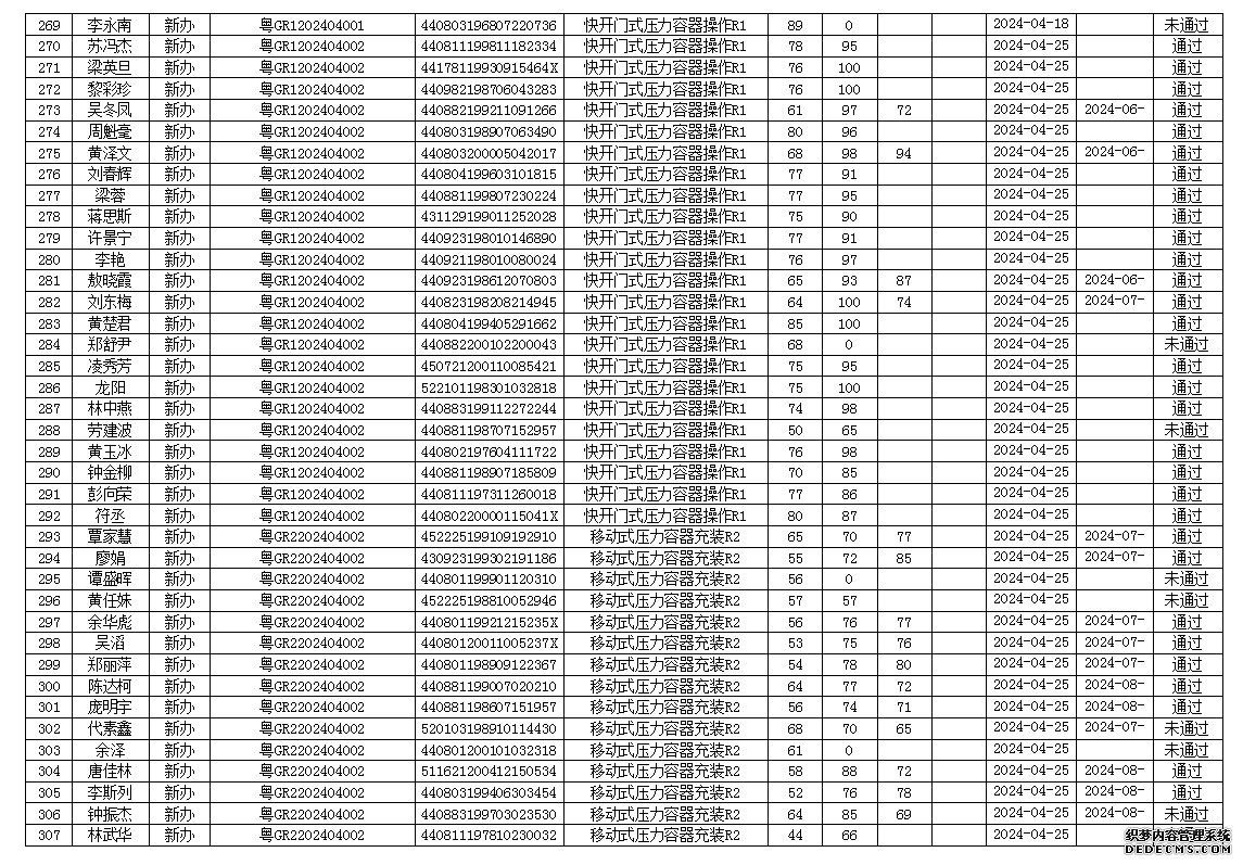
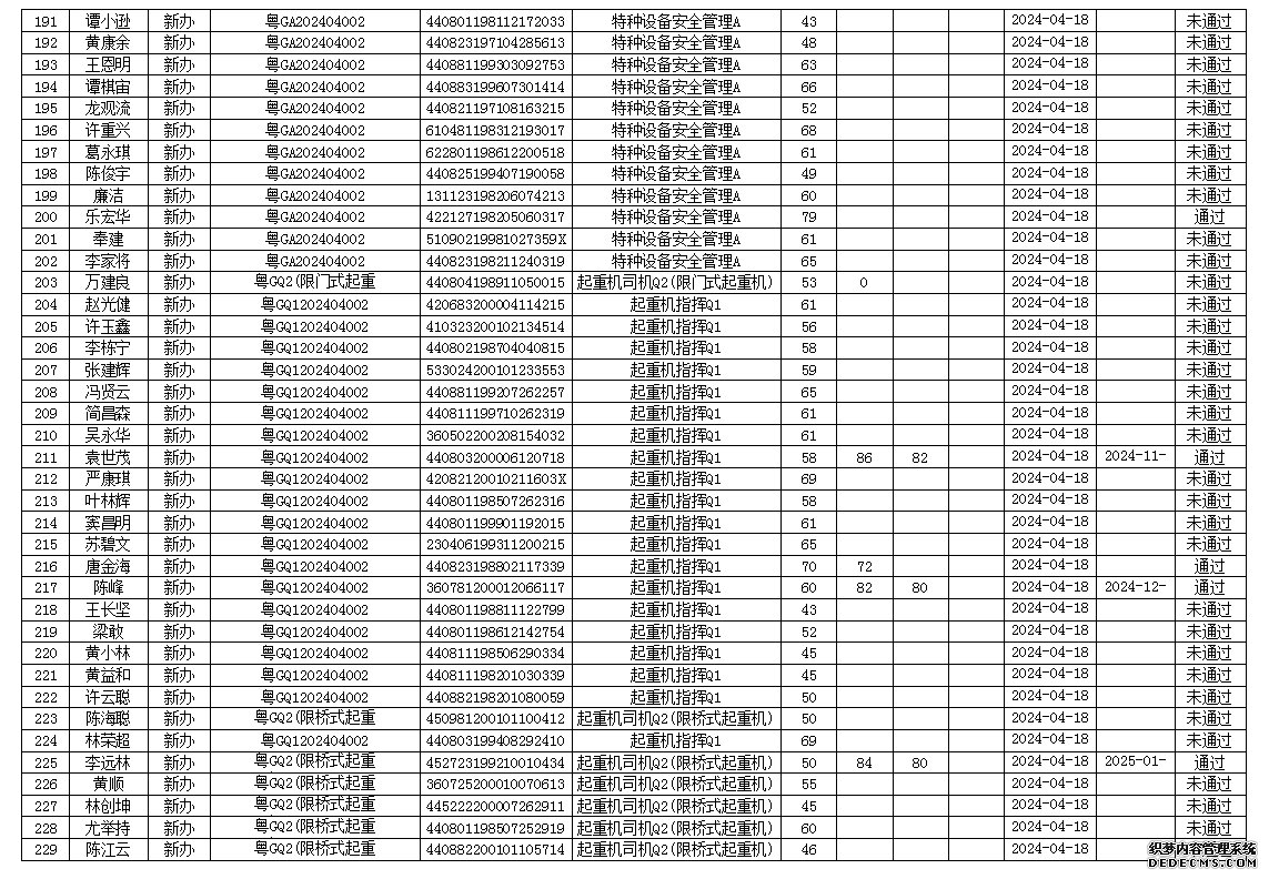
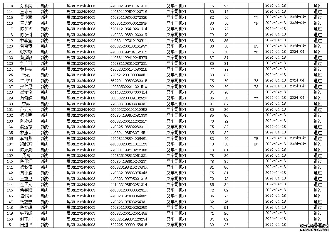
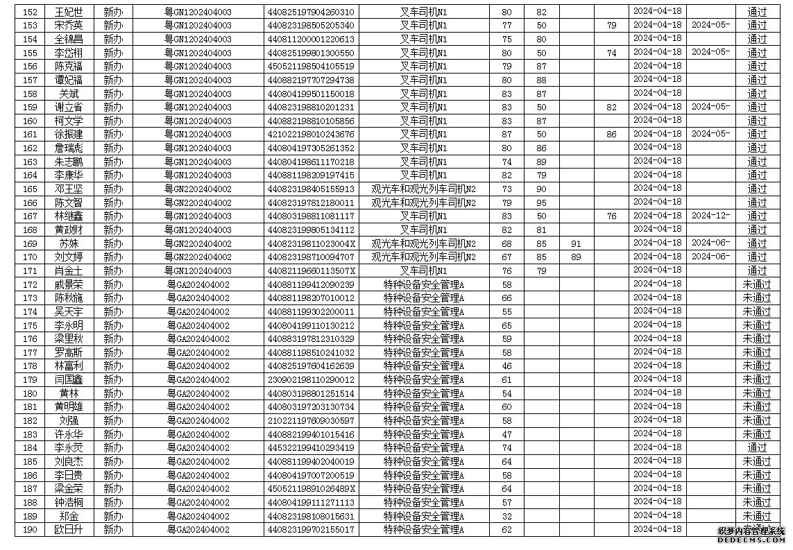
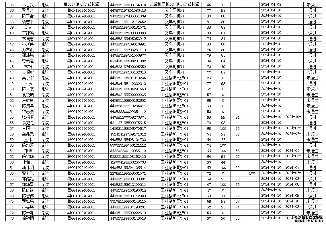
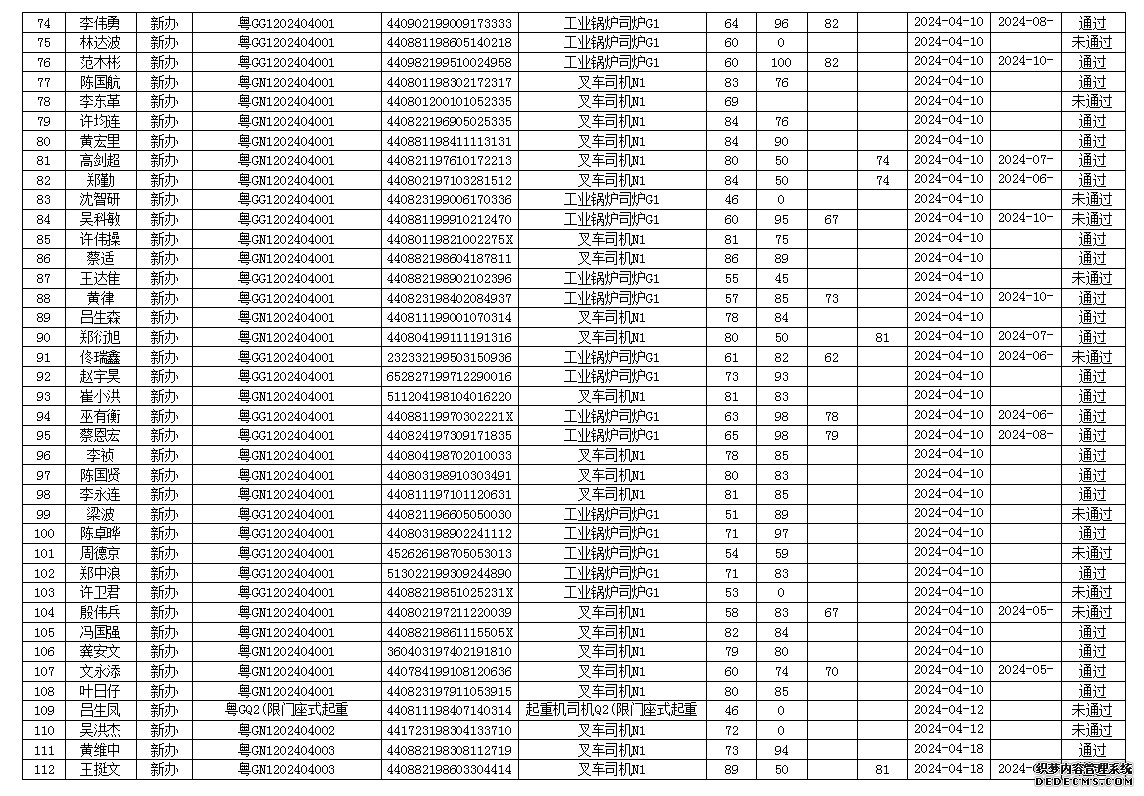
2024年4月特种设备作业人员考试成绩

来源:未知    作者:zjqst    人气:    发布时间:2024-05-08